- Berichten: 1084
- Bedankjes 97
Statistiek kwartier
- Frank
-
Auteur
- Offline
Lees minder
Lees meer
Statistiek kwartier
16 apr 2017 10:26
Hallo Han,
Gezien je ooit hebt aangegeven om alles op het forum te plaatsen bij deze:
Na uitkomen van de nieuwe windows 10 versie 1703 even getest hoe een zeer zwaar sjabloon zich nu houd.
Dit was het sjabloon statistiek kwartier die bij zeer veel generaties afgebroken moest worden, en ik niet verder kwam dan 16 generaties dacht ik vorig jaar.
Bij vinkje tot 25 generaties geheel geen probleem.
het voorblad word gemaakt en de eerste 25 generaties worden gemaakt en getoond in 1 minuut tijd.
Zeer snel volgens de begrippen van vorig jaar in windows 7.
Vervolgens nog 3-4 minuten draaien (ivm kwartierverlies denk ik) tot generatie 34.
Deze html pagina is te bekijken.
Maar pagina 34 niet meer. en index pagina word niet opnieuw gemaakt tot de laatste gegenereerd.
vinkje bij: Extra -> Instellingen -> Begrenzing -> Aantal generaties
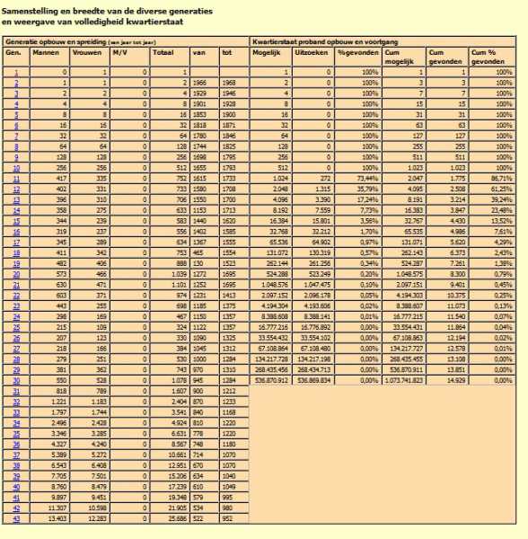
staat niet ingesteld en geboortespreiding van de 33ste generatie geeft aan :
Geboortespreiding: van 840 tot 1168
Laatste aangemaakte html pagina 34 word niet afgemaakt en index pagina wordt niet herzien.
Opbouw scherm met doorlopen opbouwen bestand verdwijnt automatisch na enkele minuten.
Dit moest eerst ook handmatig geforceerd worden.
Onderstaande 2 printscreens mijn verkenner en de uitdraai die nu wel in beeld komt van 25 generaties.
Dacht dat dit toen bewust getekkeld was, maar weet het niet meer precies.
34 generaties geeft
11.864 voorouders aan, terwijl ik heden volgens de telling op 12.966 voorouders zit.
Kortom : veel lof, zowel voor windows als voor Aldfaer.
Mogelijk kan het niet gevonden probleem van vorig jaar nu wel opgelost worden, daar dezelfde computer toen Windows 7 en heden windows 10 het nu beter aankan.
Dacht dat deze toen was begrenst, op 25 generaties maar zou nu uitgezet kunnen worden of in ieder geval tot de 33ste generatie zoals ik het nu zie.
Bevindingen van het statistiek kwartier met hyperlink.
Volgende melding zal zonder de hyperlinks zijn.
Gezien je ooit hebt aangegeven om alles op het forum te plaatsen bij deze:
Na uitkomen van de nieuwe windows 10 versie 1703 even getest hoe een zeer zwaar sjabloon zich nu houd.
Dit was het sjabloon statistiek kwartier die bij zeer veel generaties afgebroken moest worden, en ik niet verder kwam dan 16 generaties dacht ik vorig jaar.
Bij vinkje tot 25 generaties geheel geen probleem.
het voorblad word gemaakt en de eerste 25 generaties worden gemaakt en getoond in 1 minuut tijd.
Zeer snel volgens de begrippen van vorig jaar in windows 7.
Vervolgens nog 3-4 minuten draaien (ivm kwartierverlies denk ik) tot generatie 34.
Deze html pagina is te bekijken.
Maar pagina 34 niet meer. en index pagina word niet opnieuw gemaakt tot de laatste gegenereerd.
vinkje bij: Extra -> Instellingen -> Begrenzing -> Aantal generaties
staat niet ingesteld en geboortespreiding van de 33ste generatie geeft aan :
Geboortespreiding: van 840 tot 1168
Laatste aangemaakte html pagina 34 word niet afgemaakt en index pagina wordt niet herzien.
Opbouw scherm met doorlopen opbouwen bestand verdwijnt automatisch na enkele minuten.
Dit moest eerst ook handmatig geforceerd worden.
Onderstaande 2 printscreens mijn verkenner en de uitdraai die nu wel in beeld komt van 25 generaties.
Dacht dat dit toen bewust getekkeld was, maar weet het niet meer precies.
34 generaties geeft
11.864 voorouders aan, terwijl ik heden volgens de telling op 12.966 voorouders zit.
Kortom : veel lof, zowel voor windows als voor Aldfaer.
Mogelijk kan het niet gevonden probleem van vorig jaar nu wel opgelost worden, daar dezelfde computer toen Windows 7 en heden windows 10 het nu beter aankan.
Dacht dat deze toen was begrenst, op 25 generaties maar zou nu uitgezet kunnen worden of in ieder geval tot de 33ste generatie zoals ik het nu zie.
Bevindingen van het statistiek kwartier met hyperlink.
Volgende melding zal zonder de hyperlinks zijn.
Onderwerp is gesloten.
- Frank
-
Auteur
- Offline
Re: Statistiek kwartier
16 apr 2017 10:50
2de test zonder jumplink en onbegrenst.
Geeft een abnormal termination, en aldfaer sluit automatisch af.
En kan weer gewoon opnieuw aldfaer opstarten zonder enig probleem.
Echter wordt wel gedraaid.
vervolgens 3de test met generatie begrenzing:
34 generaties
deze word doorlopen en ben de schermen allemaal aan het ok klikken.
5 nummerig krijgt een 10 nummering
wordt vervolgens in volgende post.
Geeft een abnormal termination, en aldfaer sluit automatisch af.
En kan weer gewoon opnieuw aldfaer opstarten zonder enig probleem.
Echter wordt wel gedraaid.
vervolgens 3de test met generatie begrenzing:
34 generaties
deze word doorlopen en ben de schermen allemaal aan het ok klikken.
5 nummerig krijgt een 10 nummering
wordt vervolgens in volgende post.
Onderwerp is gesloten.
- Frank
-
Auteur
- Offline
Re: Statistiek kwartier
16 apr 2017 11:05 - 16 apr 2017 11:12
hardmatig afgesloten,
Het zijn veel te veel kwartierverliezen en blijf ok klikken.
Kan dit ook Automatisch gezet worden ?
vervolgens nog een paar pogingen gedaan
30 generatie begrenzing -> hardmatig afgebroken
20 generatie begrenzing -> hardmatig afgebroken
nieuwe poging met daar de html pagina's tot 19 gemaakt werden
18 generatie begrenzing
Het zijn veel te veel kwartierverliezen en blijf ok klikken.
Kan dit ook Automatisch gezet worden ?
vervolgens nog een paar pogingen gedaan
30 generatie begrenzing -> hardmatig afgebroken
20 generatie begrenzing -> hardmatig afgebroken
nieuwe poging met daar de html pagina's tot 19 gemaakt werden
18 generatie begrenzing
Laatst bewerkt 16 apr 2017 11:12 door Frank .
Onderwerp is gesloten.
- Frank
-
Auteur
- Offline
Re: Statistiek kwartier
16 apr 2017 11:28 - 16 apr 2017 11:30
Het kwartierverlies met de popup schermen die ok geklikt moeten worden is het probleem volgens mij.
bijgaande eerste kwartierverlies in de 10de generatie.
Indien dit automatisch doorlopen zou gebeuren kan je verder komen dan voorheen volgens mij.
Bemerking:
indien je doorklikt en een generatie verder komt waardoor een html pagina compleet gemaakt is opent elke keer generatie 12
bij laatste klik: einde ok
zijn 18 generaties gemaakt inclusief de index.html pagina
Indien onduidelijk of nog meer info nodig dan hoor ik het graag weer.
AANVULLING;
Alle testen zijn gedaan zonder afscherming van levende personen.
bijgaande eerste kwartierverlies in de 10de generatie.
Indien dit automatisch doorlopen zou gebeuren kan je verder komen dan voorheen volgens mij.
Bemerking:
indien je doorklikt en een generatie verder komt waardoor een html pagina compleet gemaakt is opent elke keer generatie 12
bij laatste klik: einde ok
zijn 18 generaties gemaakt inclusief de index.html pagina
Indien onduidelijk of nog meer info nodig dan hoor ik het graag weer.
AANVULLING;
Alle testen zijn gedaan zonder afscherming van levende personen.
Laatst bewerkt 16 apr 2017 11:30 door Frank . Reden: Aanvulling
Onderwerp is gesloten.
- Frank
-
Auteur
- Offline
Re: Statistiek kwartier
16 apr 2017 11:40
nog ter aanvulling:
Zowel statistiek kwartier met jumplink als zonder jumplink komen in dezelfde map
met jumplink maakt html pagina's aan met generatienr..
zonder jumplink (voor op website) maakt html pagina's aan detail..
echter de index pagina word overschreven als je de map niet veilig steld door het eerst te hernoemen voordat je een ander statistiek kwartier maakt. (Dit is echter maar een kleine aandachtspuntje)
Zowel statistiek kwartier met jumplink als zonder jumplink komen in dezelfde map
met jumplink maakt html pagina's aan met generatienr..
zonder jumplink (voor op website) maakt html pagina's aan detail..
echter de index pagina word overschreven als je de map niet veilig steld door het eerst te hernoemen voordat je een ander statistiek kwartier maakt. (Dit is echter maar een kleine aandachtspuntje)
Onderwerp is gesloten.
- Han Kortekaas
-
- Offline
Re: Statistiek kwartier
22 apr 2017 10:49
Twee opmerkingen;
1. als er vlak na elkaar hetzelfde rapport wordt gedraaid dan is er een kans dat Windows het geheugen niet vrijgeeft dus een thread niet goed gaat; remedie even Aldfaer herstarten
2. je gebruikt niet het sjabloon van de Bonusversie.
1. als er vlak na elkaar hetzelfde rapport wordt gedraaid dan is er een kans dat Windows het geheugen niet vrijgeeft dus een thread niet goed gaat; remedie even Aldfaer herstarten
2. je gebruikt niet het sjabloon van de Bonusversie.
Onderwerp is gesloten.
- Frank
-
Auteur
- Offline
Re: Statistiek kwartier
22 apr 2017 11:03 - 22 apr 2017 11:10
Klopt Han,
één sjabloon zit namelijk ook niet in Aldfaer.
Opmerking 1 is niet van toepassing, dit werkt gewoon goed met dit sjabloon en wordt netjes overschreven indien opnieuw wordt gemaakt met dezelfde aantal generatie instellingen.
A. sjabloon is ontwikkeld om snel met een jumplink naar de bewuste persoon te gaan in het bestand, als alternatief van meer dan 10 generaties in een grafische uitdraai waardoor de computer (W7) toen vastliep.
B. 2de sjabloon om de gegevens op internet te zetten ontbreekt voor andere genealogen.
daar is de jumplink verwijderd uit de uitdraai, daar dit on line niet mogelijk is.
voetnoot:
Geen kritiek maar kleine verbeterpuntjes die in een volgende versie verholpen zouden kunnen zijn.
dit na bemerkingen met een snellere W10 installatie op dezelfde computer.
één sjabloon zit namelijk ook niet in Aldfaer.
Opmerking 1 is niet van toepassing, dit werkt gewoon goed met dit sjabloon en wordt netjes overschreven indien opnieuw wordt gemaakt met dezelfde aantal generatie instellingen.
A. sjabloon is ontwikkeld om snel met een jumplink naar de bewuste persoon te gaan in het bestand, als alternatief van meer dan 10 generaties in een grafische uitdraai waardoor de computer (W7) toen vastliep.
B. 2de sjabloon om de gegevens op internet te zetten ontbreekt voor andere genealogen.
daar is de jumplink verwijderd uit de uitdraai, daar dit on line niet mogelijk is.
voetnoot:
Geen kritiek maar kleine verbeterpuntjes die in een volgende versie verholpen zouden kunnen zijn.
dit na bemerkingen met een snellere W10 installatie op dezelfde computer.
Laatst bewerkt 22 apr 2017 11:10 door Frank . Reden: voetnoot
Onderwerp is gesloten.
- Frank
-
Auteur
- Offline
Re: Statistiek kwartier
26 apr 2017 21:54Han Kortekaas schreef : knip...Twee opmerkingen;
1. als er vlak na elkaar hetzelfde rapport wordt gedraaid dan is er een kans dat Windows het geheugen niet vrijgeeft dus een thread niet goed gaat; remedie even Aldfaer herstarten
...knip
Houd dit dan in dat je bestandsgrote van x aantal mb 3 keer in het werkgeheugen zit als je het nog een keer draaid en hierdoor vastloopt ?
Onderwerp is gesloten.
- Han Kortekaas
-
- Offline
Re: Statistiek kwartier
28 apr 2017 14:15
Geen commentaar want je zei al dat punt 1 niet aan de orde was bij jou.
Onderwerp is gesloten.
- Frank
-
Auteur
- Offline
Re: Statistiek kwartier
28 apr 2017 22:23
zie opmerking in andere post enkele minuten geleden.
Vrij verwarrend als je in een andere post een opmerking maakt terwijl het deze post moet zijn die je eigenlijk bedoeld.
vraag over het kwartierverlies is dit op te lossen, het veelvuldig langdurig klikken elke keer ?
Vrij verwarrend als je in een andere post een opmerking maakt terwijl het deze post moet zijn die je eigenlijk bedoeld.
vraag over het kwartierverlies is dit op te lossen, het veelvuldig langdurig klikken elke keer ?
Onderwerp is gesloten.